JavaScript 数据结构与算法(十一)树
什么是树?
真实的树:

树的特点:
- 树一般都有一个根,连接着根的是树干;
- 树干会发生分叉,形成许多树枝,树枝会继续分化成更小的树枝;
- 树枝的最后是叶子;
现实生活中很多结构都是树的抽象,模拟的树结构相当于旋转 180° 的树。

树结构对比于数组/链表/哈希表有哪些优势呢?
数组:
- 优点:可以通过下标值访问,效率高;
- 缺点:查找数据时需要先对数据进行排序,生成有序数组,才能提高查找效率;并且在插入和删除元素时,需要大量的位移操作;
链表:
- 优点:数据的插入和删除操作效率都很高;
- 缺点:查找效率低,需要从头开始依次查找,直到找到目标数据为止;当需要在链表中间位置插入或删除数据时,插入或删除的效率都不高。
哈希表:
- 优点:哈希表的插入/查询/删除效率都非常高;
- 缺点:空间利用率不高,底层使用的数组中很多单元没有被利用;并且哈希表中的元素是无序的,不能按照固定顺序遍历哈希表中的元素;而且不能快速找出哈希表中最大值或最小值这些特殊值。
树结构:
- 优点:树结构综合了上述三种结构的优点,同时也弥补了它们存在的缺点(虽然效率不一定都比它们高),比如树结构中数据都是有序的,查找效率高;空间利用率高;并且可以快速获取最大值和最小值等。
总的来说:每种数据结构都有自己特定的应用场景。
树结构:
树(Tree):由 n(n ≥ 0)个节点构成的有限集合。当 n = 0 时,称为空树。
对于任意一棵非空树(n > 0),它具备以下性质:
- 数中有一个称为根(Root)的特殊节点,用 r 表示;
- 其余节点可分为 m(m > 0)个互不相交的有限集合 T1,T2,…,Tm,其中每个集合本身又是一棵树,称为原来树的子树(SubTree)。
树的常用术语:

- 节点的度(Degree):节点的子树个数,比如节点 B 的度为 2;
- 树的度:树的所有节点中最大的度数,如上图树的度为 2;
- 叶节点(Leaf):度为 0 的节点(也称为叶子节点),如上图的 H,I 等;
- 父节点(Parent):度不为 0 的节点称为父节点,如上图节点 B 是节点 D 和 E 的父节点;
- 子节点(Child):若 B 是 D 的父节点,那么 D 就是 B 的子节点;
- 兄弟节点(Sibling):具有同一父节点的各节点彼此是兄弟节点,比如上图的 B 和 C,D 和 E 互为兄弟节点;
- 路径和路径长度:路径指的是一个节点到另一节点的通道,路径所包含边的个数称为路径长度,比如 A->H 的路径长度为 3;
- 节点的层次(Level):规定根节点在 1 层,其他任一节点的层数是其父节点的层数加 1。如 B 和 C 节点的层次为 2;
- 树的深度(Depth):树种所有节点中的最大层次是这棵树的深度,如上图树的深度为 4;
树结构的表示方式
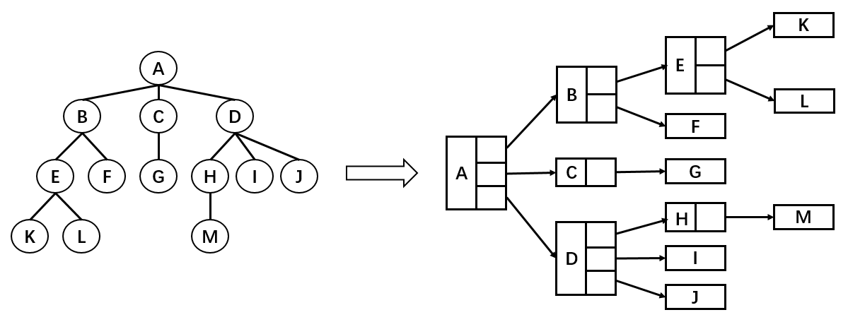
最普通的表示方法:

如图,树结构的组成方式类似于链表,都是由一个个节点连接构成。不过,根据每个父节点子节点数量的不同,每一个父节点需要的引用数量也不同。比如节点 A 需要 3 个引用,分别指向子节点 B,C,D;B 节点需要 2 个引用,分别指向子节点 E 和 F;K 节点由于没有子节点,所以不需要引用。
这种方法缺点在于我们无法确定某一结点的引用数。
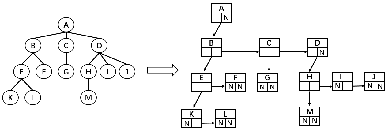
儿子 - 兄弟表示法:

这种表示方法可以完整地记录每个节点的数据,比如:
1 | //节点 A |
这种表示法的优点在于每一个节点中引用的数量都是确定的。
儿子 - 兄弟表示法旋转
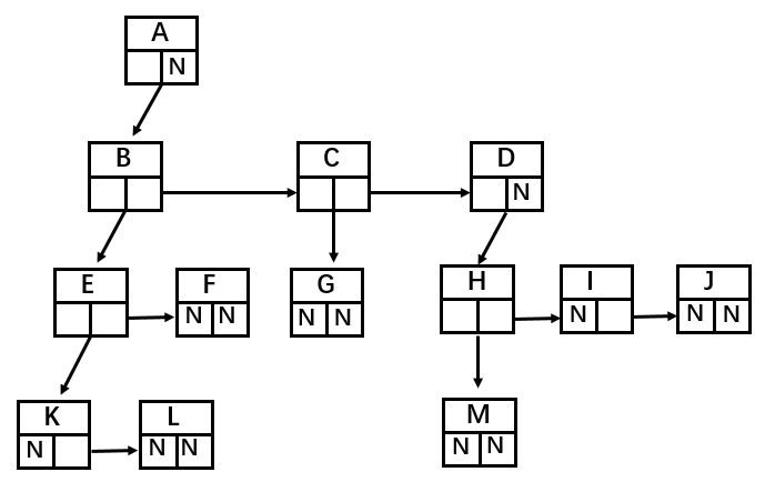
以下为儿子 - 兄弟表示法组成的树结构:

将其顺时针旋转 45° 之后:

这样就成为了一棵二叉树,由此我们可以得出结论:任何树都可以通过二叉树进行模拟。但是这样父节点不是变了吗?其实,父节点的设置只是为了方便指向子节点,在代码实现中谁是父节点并没有关系,只要能正确找到对应节点即可。
Comments
Comment plugin failed to load
Loading comment plugin